鍏ㄧ悆鐮斿彂 | 鑺︽矁缇庢浛灏硷紙FCN-159锛夋不鐤楀効绔F1鏇存柊鏁版嵁浜嶢SCO 2025鍏竷



2025骞?鏈?2鏃ワ紝缇庡浗涓村簥鑲跨槫瀛︿細锛圓SCO锛夊勾浼氬叕甯冧簡鍏ラ€夌爺绌舵憳瑕併€傜敱澶嶆槦鍖昏嵂鑷富鐮斿彂鐨勮姦娌冪編鏇垮凹鐗囷紙FCN-159锛夋不鐤楀効绔鍨嬬缁忕氦缁寸槫鐥呯浉鍏充笡鐘剁缁忕氦缁寸槫锛圢F1鐩稿叧PN锛夌殑2鏈熶复搴婄爺绌舵洿鏂版暟鎹叆閫?/span>1銆?/span>
鑺︽矁缇庢浛灏肩墖鏄竴娆鹃珮閫夋嫨鎬EK1/2鎶戝埗鍓傦紝鍏跺弻閫傚簲鐥囷紙鏈楁牸姹夋柉缁嗚優缁勭粐缁嗚優澧炵敓鐥囧拰缁勭粐缁嗚優鑲跨槫銆両鍨嬬缁忕氦缁寸槫鐥呯浉鍏充笡鐘剁缁忕氦缁寸槫锛夊湪鑾稢DE澶氭绐佺牬鎬ф不鐤楀拰浼樺厛瀹¤瘎璁ゅ畾鍚庯紝宸蹭簬5鏈?9鏃ヨ幏鎵逛笂甯傘€?/span>
鍩轰簬璇ョ爺绌跺湪2023骞村強2024骞碅SCO骞翠細宸插叕甯冪殑1/2鏈熺爺绌舵暟鎹紝鏈鏁版嵁鏇存柊浜嗘渶鏂伴殢璁跨殑鐤楁晥鍜屽畨鍏ㄦ€ф暟鎹紝灞曠ず浜嗚姦娌冪編鏇垮凹绉瀬鐨勪复搴婅幏鐩婂拰鑹ソ鐨勫畨鍏ㄦ€э紝灏嗕负鑺︽矁缇庢浛灏肩殑绉戝娌荤枟鍐嶆坊鍔涜瘉銆?/span>

鑱氱劍 NF1 鍎跨鍥板锛屽~琛ユ不鐤楃┖鐧?/span>
I 鍨嬬缁忕氦缁寸槫鐥咃紙NF1锛夋槸涓€绉嶅父鏌撹壊浣撴樉鎬ч仐浼犳€ц偪鐦ゆ€х柧鐥咃紝甯哥疮鍙婂绯荤粺銆傜害 30%-50% 鐨勬偅鑰呬即鍙戜笡鐘剁缁忕氦缁寸槫锛圥N锛夛紝鍙鑷存瘉瀹广€佺柤鐥涖€佽韩浣撳姛鑳介殰纰嶇瓑涓ラ噸闂骞舵樉钁楀奖鍝嶆偅鑰呯敓娲昏川閲忋€侾N 鎮h€呭ぇ澶氬湪骞煎勾鏃舵湡璧风梾锛屼笖鍦ㄧ敓闀垮彂鑲插叧閿殑鍎跨鏈熺柧鐥呰繘灞曟洿涓鸿繀閫燂紝鍥犳鍎跨 NF1-PN 鐨勬不鐤楅渶姹傚挨涓鸿揩鍒?/span>2銆?/span>
鐩墠鎵嬫湳铏戒负NF1鐩稿叧PN鐨勪富瑕佹不鐤楁墜娈碉紝浣嗗洜涓虹槫浣撹捣婧愪簬绁炵粡锛岀害鍙湁15% 鐨勬偅鑰呰偪鐦ゅ彲瀹屽叏鍒囬櫎锛?3%鐨勬偅鑰呮湳鍚庝細鍑虹幇PN澶嶅彂3銆備笉鍙垏闄ゆ垨鏈悗澶嶅彂鐨?PN 鎮h€呮不鐤楅€夋嫨鏋佷负鏈夐檺锛屽挨鍏舵槸瀵逛簬2 宀佺殑涓浗鍎跨鎮h€咃紝鍦ㄨ姦娌冪編鏇垮凹鑾锋壒鍓嶆棤鑽墿鍙敤銆?/span>
鏈爺绌朵负涓€椤瑰涓績锛屽紑鏀炬爣绛?鏈熶复搴婅瘯楠屻€傚叾涓昏鐩殑鏄瘎浼拌姦娌冪編鏇垮凹鐗囷紙FCN-159锛夋不鐤楀効绔鍨嬬缁忕氦缁寸槫鐥呯浉鍏充笡鐘剁缁忕氦缁寸槫锛圢F1鐩稿叧PN锛夌殑鏈夋晥鎬у強瀹夊叏鎬с€備富瑕佺粓鐐逛负鐮旂┒鑰呰瘎浼扮殑瀹㈣缂撹В鐜囷紙ORR锛夛紝鍏抽敭娆¤缁堢偣涓虹洸鎬佺嫭绔嬭瘎瀹″鍛樹細锛圔IRC锛夎瘎浼扮殑ORR銆?/span>

鑺︽矁缇庢浛灏艰捣鏁堣繀閫熶笖鐤楁晥鏄捐憲锛孫RR杈?0.5%锛屼腑浣嶈捣鏁堟椂闂翠负4.7涓湀
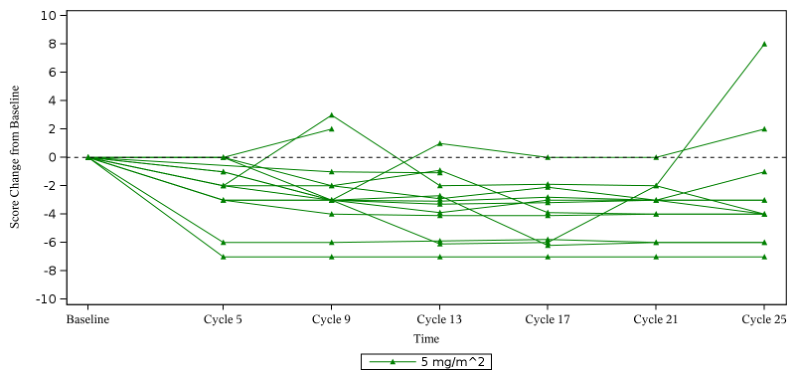
鎴嚦2024骞?鏈?3鏃ワ紝鏈」澶氫腑蹇冿紝寮€鏀炬爣绛?鏈熶复搴婄爺绌剁撼鍏?6渚?-18宀侊紙涓嶅惈锛塏F1鐩稿叧PN鍎跨鎮h€呮帴鍙楄姦娌冪編鏇垮凹锛? mg/m2锛屾瘡鏃ヤ竴娆★級娌荤枟銆備腑浣嶉殢璁挎椂闂翠负25.1涓湀銆?/span>
鍦?3 渚嬪彲璇勪及鎮h€呬腑锛岀爺绌惰€呰瘎浼颁笖纭鐨勫瑙傜紦瑙g巼锛圤RR锛夎揪60.5%锛?5% CI锛?4.4-75.0锛夛紝26 渚嬭揪鍒伴儴鍒嗙紦瑙o紙PR锛夛紝17 渚嬬柧鐥呯ǔ瀹氾紙SD锛夛紝鏃犳偅鑰呯柧鐥呰繘灞曘€備腑浣嶇紦瑙f寔缁椂闂达紙DOR锛夊拰涓綅鏃犺繘灞曠敓瀛樻湡锛圥FS锛夋湭杈惧埌銆?/span>
鍦?3渚嬪彲璇勪及鎮h€呬腑锛孊IRC璇勪及涓旂‘璁ょ殑 ORR 涓?4.2%锛?5% CI锛?9.1-60.1锛夛紝19 渚嬭揪鍒癙R锛?4 渚嬭揪鍒癝D锛屾棤鎮h€呯柧鐥呰繘灞曘€?/span>
鐮旂┒鑰呰瘎浼扮殑涓綅璧锋晥鏃堕棿涓?.7涓湀锛孊IRC璇勪及鐨勪腑浣嶈捣鏁堟椂闂翠綅5.5涓湀銆?/span>

鍩虹嚎NRS鈮? 鍒嗘偅鑰呬腑锛?2.9%鐤肩棝鏄庢樉鏀瑰杽
鍦?14 渚嬪彲璇勪及鐤肩棝鐨勬偅鑰呬腑锛堝嵆鍩虹嚎鎬讳綋鑲跨槫鐤肩棝璇勫垎鈮?涓旇嚦灏戞湁涓€娆″熀绾垮悗璇勪及鐨勬偅鑰咃級锛屼笌鍩虹嚎鐩告瘮锛屼腑浣嶆渶澶х柤鐥涢檷浣庡垎鏁扮殑鍙樺寲涓?3.5鍒嗐€?3渚嬶紙92.9%锛夋偅鑰呯殑鐤肩棝璇勫垎鑷冲皯闄嶄綆2鍒嗭紝杈惧埌浜嗕复搴婃剰涔夌殑鏀瑰杽銆?1渚嬶紙78.6%锛夋偅鑰呯殑鐤肩棝璇勫垎涓?锛屽嵆鐤肩棝瀹屽叏娑堝け銆?/span>

瀹夊叏鎬ц壇濂斤紝涓嶈壇浜嬩欢澶氫负1-2绾т笖鍙帶锛屾湭鍑虹幇鏂扮殑瀹夊叏鎬т俊鍙?/span>
涓庣爺绌惰嵂鐗╂湁鍏崇殑涓嶈壇浜嬩欢锛圱RAEs锛夊彂鐢熺巼涓?97.8%锛屼互 1-2 绾т负涓伙紝鈮? 绾?TRAEs 浠呭崰21.7%锛屽父瑙佷笉鑹簨浠朵富瑕佸寘鎷敳娌熺値锛?5.2%锛夈€佽鑲岄吀纾烽吀婵€閰讹紙CPK锛夊崌楂橈紙56.5%锛夈€佸彛鑵旀簝鐤★紙52.2%锛夊拰琛€涔抽吀鑴辨阿閰跺崌楂橈紙50%锛夛紝鍧囦负 MEK 鎶戝埗鍓傜被鑽墿甯歌鍙帶鎬у弽搴斻€?/span>
鑵圭棝銆佽吂娉汇€佹伓蹇冨拰鍛曞悙鐨勫彂鐢熺巼鍦?2.2% 鑷?19.6% 涔嬮棿锛屼笖鍧囨湭杈?3 绾с€?/span>浠?2 渚嬶紙4.3%锛夋偅鑰呭嚭鐜颁笌鐮旂┒鑽墿鏈夊叧鐨勪弗閲嶄笉鑹簨浠讹紙鐥ょ柈鏍风毊鐐庡拰鎰熸煋鎬ц偤鐐庯級銆?3渚嬶紙28.3%锛夋偅鑰呭嚭鐜板鑷存殏鍋滅敤鑽殑TRAE锛屾棤TRAE瀵艰嚧鍓傞噺闄嶄綆銆佹案涔呭仠鑽垨姝讳骸銆傛偅鑰呬緷浠庢€ц揪鍒?00%銆?/span>
鑺︽矁缇庢浛灏肩殑瀹夊叏鎬ц壇濂斤紝涓嶈壇浜嬩欢缁忚繃瀵圭棁娌荤枟鍜屾殏鍋滅敤鑽悗鍙湁鏁堢鐞嗐€傚湪鍎跨鍙婇潚灏戝勾涓€愬彈鎬ц壇濂姐€?/span>

浠h阿绋冲畾銆侀珮閫夋嫨鎬с€佷綆姣掓€х殑鐗圭偣锛屼负涓浗 NF1 鎮e効甯︽潵涓村簥鑾风泭
浣滀负棣栦釜鍥戒骇MEK鎶戝埗鍓傦紝鑺︽矁缇庢浛灏煎湪缁撴瀯涓婇€氳繃鍗忓悓璁捐锛屽疄鐜颁簡浠h阿绋冲畾銆侀珮閫夋嫨鎬у拰浣庢瘨鎬э紝浠ュ強鍗婅“鏈熷欢闀跨殑浼樺娍銆傝嵂浠e姩鍔涘鐗瑰緛鏀寔鑽墿姣忔棩缁欒嵂1娆★紝涓嶅彈椁愰褰卞搷骞跺叿鏈夋洿灏戠殑鍚堝苟鐢ㄨ嵂褰卞搷锛屽潎甯︽潵鏇村ソ鐨勪緷浠庢€э紝閫傚悎鍎跨闀挎湡鐢ㄨ嵂銆傝姦娌冪編鏇垮凹涓嶄粎浠ラ珮閫夋嫨鎬ф満鍒剁獊鐮翠簡浼犵粺娌荤枟鐨勫眬闄愭€э紝鏇撮€氳繃鏄捐憲鐨勮偪鐦ょ紦瑙g巼涓庣柤鐥涙敼鍠勬暟鎹紝灏嗕负 NF1 鎮e効甯︽潵绉瀬鐨勪复搴婅幏鐩娿€?/span>
姝ゅ锛岃姦娌冪編鏇垮凹鐗囩敤浜庢不鐤楁垚浜衡厾鍨嬬缁忕氦缁寸槫鐥呬簬涓浗澧冨唴澶勪簬鈪㈡湡涓村簥璇曢獙闃舵锛岃鑽搧鐢ㄤ簬浣庣骇鍒剳鑳惰川鐦ゃ€侀澶栧姩闈欒剦鐣稿舰銆佸効绔ユ湕鏍兼眽鏂粏鑳炵粍缁囩粏鑳炲鐢熺棁鐨勬不鐤椾簬涓浗澧冨唴鍧囧浜庘叀鏈熶复搴婅瘯楠岄樁娈碉紝鍏朵腑锛岃鑽搧鐢ㄤ簬鏃犳硶鎵嬫湳鎴栨湳鍚庢畫鐣?澶嶅彂鐨凬F1鐩稿叧鐨勪笡鐘剁缁忕氦缁寸槫鎴愪汉鎮h€呫€佸効绔ユ湕鏍兼眽鏂粍缁囩粏鑳炲鐢熺棁涓ら」閫傚簲鐥囧潎宸茶鍥藉鑽洃灞€鑽搧瀹¤瘎涓績绾冲叆绐佺牬鎬ф不鐤楄嵂鐗╃▼搴忋€傚鏄熷尰鑽皢鎸佺画鎺ㄨ繘鑺︽矁缇庢浛灏肩墖鍦ㄥ叾瀹冮€傚簲鐥囩殑寮€鍙戯紝涓烘洿澶氭偅鑰呭甫鏉ョ闊炽€?/span>
*鏈潗鏂欎负涓撲笟鍖诲璧勬枡锛屼粎渚涘尰鐤楀崼鐢熶笓涓氫汉澹弬鑰冿紝鍏蜂綋璇婄枟淇℃伅璇烽伒鍖诲槺銆?/span>
鍙傝€冩枃鐚細
1. JinHu Wang et al. JCO 43, 10044-10044(2025).
2. 涓浗缃曡鐥呰仈鐩熲厾鍨嬬缁忕氦缁寸槫鐥呭瀛︾璇婄枟鍗忎綔缁? [J].缃曡鐥呯爺绌? 2023,2(2):210-230.
3. Fisher MJ, et al. Neuro Oncol. 2022;24(11):1827-1844








